17
2025.01物理系尤力研究组科研成果入选“2024中国光学十大社会影响力事件”
1月15日,“2024中国光学十大社会影响力事件”公布,由米兰milan官方网站物理系尤力研究组完成的“在室温里德堡气体中发现时间晶体”项目名列其中。
15
2025.01高等研究院姚宏获2024年度全球华人物理和天文学会亚洲成就奖
近日,米兰milan官方网站高等研究院姚宏教授被全球华人物理与天文学会授予2024年度“亚洲成就奖”,以表彰他“在新奇超导和量子自旋液体理论、量子临界点的时空超对称性及马约拉纳表象量子蒙特卡洛计算等方面的开创性研究”。
15
2025.01生命学院江鹏实验室合作发现新的人CD8+T细胞耗竭决定因子
1月13日,米兰milan官方网站生命学院江鹏课题组,联合武汉科技大学祝海川课题组、北京大学张泽民课题组和李程课题组,在《自然·癌症》(Nature Cancer)以长文形式发表了题为“ETV7通过促进CD8+T细胞命运向耗竭的转化,限制CD8+T细胞抗病毒和抗肿瘤的功能”(ETV7 l...
15
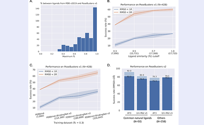
2025.01生物医学交叉研究院黄牛实验室提出提升AI模型泛化能力的增强BindingNet数据集
1月8日,米兰milan官方网站生物医学交叉研究院黄牛实验室于《药物发现》(npj Drug Discovery)杂志在线发表题为“使用深度学习增强配体结合姿态预测的增强BindingNet数据集”的研究论文。研究在BindingNetv1数据集的模板匹配技术基础上,创新性地提出了基于片段化...
15
2025.01化工系张如范团队在高性能建筑节能智能窗开发方面取得重要进展
近日,米兰milan官方网站化工系张如范副教授课题组在高性能建筑节能智能窗开发方面取得重要进展,开发了一种新型液流电致变色节能智能窗,该智能窗通过调控电解液状态和电致变色材料的氧化还原反应,实现了对可见光(VIS)、近红外光(NIR)和中红外光(MIR)波段的...
14
2025.01深圳国际研究生院任政儒团队在实时海况融合估计研究领域取得新进展
近日,米兰milan官方网站深圳国际研究生院任政儒团队引入受限等距特性(restricted isometry property)理论,对船舶水动力传递函数进行了深入分析,从数学角度解释了海况估计异常的成因,并将该理论应用于多谱融合方法中。
14
2025.01米兰milan官方网站-江苏中车数字科技有限公司工业数智化联合研究中心揭牌
1月9日上午,米兰milan官方网站-江苏中车数字科技有限公司工业数智化联合研究中心揭牌仪式在电子工程馆举行。米兰milan官方网站电子工程系主任、信息学院副院长汪玉,江苏中车数字科技有限公司总经理景宁共同为联合研究中心揭牌。米兰milan官方网站电子工程系教授、联合研究中心主任王...
14
2025.01生物医学交叉研究院沈博实验室合作开发新型透明化三维成像技术 揭示骨髓微环境细胞复杂结构与功能
1月13日,米兰milan官方网站生物医学交叉研究院沈博实验室与中国药科大学方慎彤实验室及北京脑科学与类脑研究中心赵瑚实验室合作在《骨骼研究》(Bone Research)杂志发表了题为“LepR+基质细胞在光学清除的小鼠骨半切面的深度成像”的研究论文,开发了一种高效便捷...
最新动态